二重积分大小比较、换序与换系、巧用对称简化技巧,掌握好不吃亏
二重积分大小比较、换序与换系、巧用对称简化技巧,掌握好不吃亏

本章框架图如图:

本章重点是二重积分的计算,除了掌握基本的计算方法,须注意对称性、拆分区域、拆分函数、交换积分次序、交换积分坐标系等的应用。二重积分是数二、数三的重要考试知识点,每年试题一般是一道大题、一道小题,分值约14 分,主要集中在二重积分计算的考查,往往在被积函数和积分区域设置障碍,因而要掌握一定的方法和技巧.另外被积函数为抽象函数的二重积分应重视.数一单独对二重积分的测试不是每年试题中都出现,对重积分的考查主要是糅合在曲线曲面积分中。
常考1.利用区域的对称性化简多元函数的积分;2.交换积分次序及转换二次积分;3.计算二重积分。
一、二重积分的性质与概念:
本考点主要考查利用二重积分的概念求解极限、利用二重积分的基本性质比较积分大小、二重积分的对称性简化积分计算。一般出现在试题的选择和填空题中。(1)二重积分的定义(2)二重积分的性质(3)二重积分的对称性。部分未尽笔记请参看自己的辅导书。
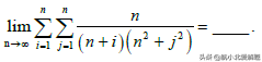
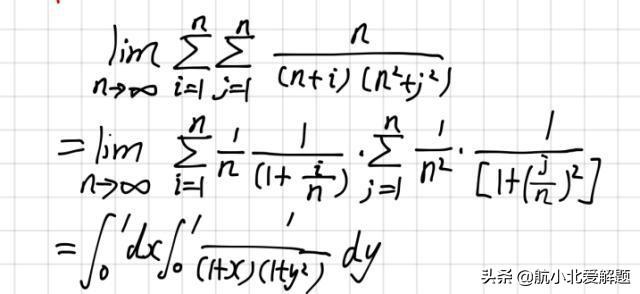
如何用二重积分定义求极限?
例




其他题型就懒得一一列举了,各种辅导书都有相应的例题和习题供以训练。



作者水平有限,读者思维无限,如有细节错误请见谅,若有好的想法,欢迎评论区留言!
标签:
65
结婚后娘家人不给钱 是一个在婚姻生活中常见的问题。如果一方的娘家人不愿意给钱,那么双方的婚姻会受到影响,特别是那些在婚姻生活初期资金较为困难的夫妻。将从几个角度出发...
200
无性的婚姻能长久吗? 大家好,今天我要给大家分享一个有趣而又引人深思的话题:无性的婚姻不长久 。婚姻是两个人共同生活、彼此依赖和支持的一种方式,但如果性爱的缺失让其...
166
金丝燕初次做的窝我们把它叫做什么_公务员必考常识题 1.世界上地势最低的国家 荷兰 2.亚洲首次举办奥运会是哪一届? 18届 3.依据中国法律规定,机动车靠边停车时应: 开右转向灯...
163
林俊杰的女朋友(细数林俊杰那些年交过的女朋友们) 林俊杰,1981年3月27日出生于新加坡,有“行走的CD”和“娱乐圈电竞选手”之称,今年39岁的我们的林俊杰至今未婚,还忙着满世...
207
在我结婚前一个月,前男友娶了他公司老板的女儿 在我结婚前一个月,前男友娶了他公司老板的女儿,还给我发来请柬故意气我。 我在屋里躺了三天,发誓要过得比他好,找一个比他...
87
龙门石窟位于哪个省(洛阳龙门石窟) 龙门石窟位于河南省洛阳市,是世界上造像最多、规模最大的石刻艺术宝库,被联合国科教文组织评为“中国石刻艺术的最高峰”,位居中国各大石...
107
五个不存在的奥特曼 ,贝利亚还能登场,圆谷把他们四个废了 在奥特剧中,奥特曼死后往往都能再次复活,但是有五奥特曼死后却已经没有机会复活了。就比如下面这几位,贝利亚曾...
124
优秀男人的十大特征,建立吸引力最有效的技巧 每个男生心中都有一个女神的形象,或许是嘤嘤怪、或许是小萝莉、或许是御姐范……但这些女神形象总是不约而同地有着共同点——白...
154
西瓜几天才能成熟(西瓜结果后多少天成熟) 西瓜从播种到它的果实成熟,差不多需要90-120天的时间,如果3月露地种植,6月多就会成熟;但不同的品种和不同地区种植也会有一定差异;...
159
《纵有疾风起》烁雨真实身份是什么 烁雨结局是什么 《纵有疾风起》烁雨真实身份是什么?烁雨结局是什么 烁雨是个十岁左右的男孩,因患病的缘故只能躺在病床上,面色苍白,看上...
112
什么叫 送终 我们一般对老人都说养老送终,那到底什么叫送终呢。 在我们的传统文化中,所谓送终,指的是老人在弥留之际,其儿女等亲近的家属在身旁照料,聆听临终遗言,直至其...
152
重生之门大结局烂尾,有第二部吗 有没有第二部也就是续集,这个不好说,官方是没有发声的。不过,细心的网友发现,电视剧最后罗坚和庄文杰说的那一段话让人反思,他说要离开庄...
71
网络用语防猝死套餐是什么梗?防猝死套餐有什么? 网络用语防猝死套餐是什么梗?防猝死套餐有什么?当代社会生活节奏很快,一些网友们因为加班熬夜过多,于是总结了一份防猝死...
180
王志飞情史起底,三段婚姻中唯独没和张歆艺结婚 王志飞虽然在演艺界的名气在慢慢的降低,但是其感情问题却是人们最为好奇的存在,而据小编的了解他一共有过三段的婚姻,且袁弘...
147
李凯馨曝光19岁生日写真 全能少女青春韶华正当时 今日,99后新生代人气小花李凯馨曝光一组生日写真,写真中李凯馨身着一袭别出心裁的露肩设计小白裙,整体造型简约而不单调。...
102
来世我不再爱你…… 这句话感觉像是在道别,或许自己是用情太深,不想在受伤害了,下辈子不再爱你,太痛了,希望下阎王爷的那一刻,走到孟婆那里会让我喝下这碗汤,让我不再想...
134
K195次列车运行线路图:呼和浩特东开往四川成都,全程1981公里 K195次列车运行线路图:内蒙古呼和浩特东开往四川成都 K195次列车是由呼和浩特东开往成都的快速旅客列车,途经内蒙古...
191
号称武大校花,樱花女神的黄灿灿出道多年仍旧不火 《婚姻的两种猜想》最近非常火,而且剧中还有一个被称之为樱花女神的妹子,你知道是谁么? 没错,剧中那个古灵精怪的杨曼曼...
190
关于过世先人牌位的正确写法,你知道多少? #暑期创作大赛# 牌位的正确写法:称谓+逝者名讳+之灵 例:“先考李公讳承业之灵”,“先妣张氏讳玉芬之灵”。灵位的基本格式为“...
185
oppor11杨幂最新广告英文歌歌词 烂漫的说笑如一颗超新星 杨幂和张彬彬合拍的oppo广告歌曲非常好听,很多网友想知道歌曲名叫什么?但是官方一直没有公布歌曲的名称,在视频中歌词写...