有机合成系列 | 缩合反应:羟醛缩合(Aldol condensation)
有机合成系列 | 缩合反应:羟醛缩合(Aldol condensation)

[概念]
含有a-氢原子的醛或酮在催化剂作用下,生成b-羟基醛、酮的反应,称为羟醛缩合,也叫醇醛缩合。该反应通常在碱催化下进行,有时也在酸催化下进行。
[反应通式]

[反应机理]
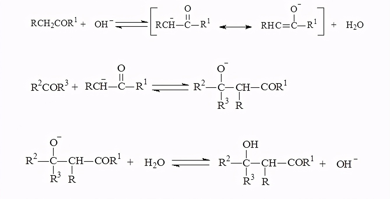
碱催化反应机理:

酸催化反应机理:

缩合产物b-羟基醛、酮通常经酸催化脱水,或在加热下脱水,生成a、b-不饱和醛、酮。

[反应中应注意的问题]
羟醛缩合反应中醛与不含a-氢原子的醛进行缩合时,需要控制碱的强度,以免发生Cannizzaro反应。
羟醛缩合反应是可逆反应。
羟醛缩合反应广泛用于有机合成,它是增长碳链一种有效方法。二醛及二酮进行分子内羟醛缩合,可制取环状化合物,特别是五元环和六元环状化合物,此类反应可用于萜及甾族化合物的合成。
[反应实例]

标签:
187
什么是空心楼盖,一起来了解一下 伴随着科技的发展,愈来愈多的领域渐渐地选用空心楼盖,而且,空心楼盖技术的大力推广,也让许多的建筑的施工筑造渐渐地简单起来,相对于传统...
169
几分钟赚百元?揭秘微信账号解封兼职 你在网上找过兼职吗?是通过什么平台呢?近期,有兼职群里出现了“微信解封”的兼职,用自己微信即可操作,几分钟完成,价格上百元,吸引...
127
富贵竹多长时间换水什么水最好 水培富贵竹刚开始可以换水频繁一些,每隔3-5天换水一次,待长出根系来可以7-10天换水一次,夏季气温高水分蒸发快,可以5-7天换水一次,冬季可以1...
100
莆田市教育局最新公示 今天(12月3日) 莆田市教育局发布两则公示 分别关于 2023年度中等职业学校 教师副高级专技职务评审通过人员 及 2023年度中等职业学校 教师中、初级专技职务评...
125
美国的知名模特,网红,也是一名跨界演员。阿曼达·瑟妮 阿曼达·瑟妮(Amanda Cerny)...
177
传魏大勋和秦岚已分手,分手原因大曝光 在娱乐圈,明星情感成为了大众热议的焦点,如同一场轰轰烈烈的感情风暴,让整个城市沉浸在其中。魏大勋与秦岚的感情历程如少见的精彩话...
57
以建军命名,有纪念意义的省内第一座斜拉索大桥 八一大桥又名南昌八一大桥,是中国江西省南昌市境内一座过江通道,东起阳明路,跨越赣江,西接庐山南大道,北连昌北开发区,接...
59
王者荣耀主播出现三角恋情?耀神宣布和跑跑分手! 大家都知道,某鹅电竞的两位主播韩跑跑和耀神可谓是一对CP感满满的好基友,跑跑说要带耀神吃遍天下的山珍海味,而耀神也在微...
86
您知道一瓶最贵的茅台是多少吗? 一瓶最贵的茅台是3000万。 茅台酒中最为昂贵的是“汉帝茅台”,这款酒于1992年生产,仅生产了10瓶。它被视为价格之王,其价值高达300...
153
里海虎:从繁盛到灭绝的悲歌 在地球漫长的生命演化历程中,无数物种诞生又消逝,里海虎便是其中之一。曾几何时,它在中亚和西亚地区的广袤土地上纵横驰骋,是当地生态系统中的...
65
曾经号称“远东第一监狱”的上海市提篮桥监完成整体搬迁,新址选定在青浦青东 农场监狱片区#上海提篮桥监狱 视频加载中... 曾经号称“远东第一监狱”的上海市提篮桥监完成整体搬...
182
【特别推荐 绝杀慕尼黑】三秒秒杀美国男篮,前苏联男篮高光时刻 励志和政治是体育题材电影的恒久主题。励志是激发个体的心灵力量,政治是建构群体的博弈关系。两者相互嵌入、...
56
“黄蓉与杨过:爱情在激情中绽放” 黄蓉和杨过在那一刻,完全沉浸在彼此的爱意中。他们的心紧紧相连,仿佛时间已经停止了。 黄蓉轻轻地抚摸着杨过的脸,她的手指在他的肌肤上...
89
云南楚雄两米高“巨人稻”试种成功 视频加载中... 日前,在云南楚雄彝族自治州禄丰市和平镇试种的50亩“巨人稻”进入收割阶段,亩产可达800公斤。 记者:林碧锋 王安浩维 画面来源...
193
媛福达集团被评为“保定市2022年度诚信企业” 2022年9月1日,河北媛福达商贸集团被河北保定市政府评为“市2022年度诚信企业”。 2017年媛福达建立第一家食品生产厂(媛福达集团前身...
199
有一种美女,叫乌克兰美女,来看看这位小姐姐吧 有一种美女,叫乌克兰美女,众所周知,乌克兰也是一个盛产美女的国度。乌克兰美女们的血统来源于第聂伯河流域的“罗斯人”,是...
58
我们常说的“六亲不认”到底指的是哪六亲? 首先六亲不认这个词语出自于《史记•管晏列传》:“上服度则六亲固”。它的意思是形容不重天伦、不通人情,甚至对家里的亲戚都不顾...
115
我的偶像鲁迅先生600字范文 我的偶像——鲁迅先生 在众多的历史伟人中,我选择鲁迅先生作为我的偶像。他不仅是我国现代文学的奠基人,更是一位伟大的思想家和社会批评家。他的...
137
为什么子女条件优越,父母照样吃低保? 这样的情形对于很多群众来说,可能并不陌生:子女条件不错,有的甚至很优越,但父母却一直享受低保待遇。 每年都要低保年审、经济信息...
193
死亡五小!追梦:以巴特勒为核心的小阵容让他想起勇士曾经的五小 NBA常规赛,金州勇士客场以132-111逆转击败芝加哥公牛。本场比赛,勇士一度落后公牛24分,最终成功完成逆转。 勇...